প্রশ্ন ও উত্তর দেখুন

পূর্ণ প্রশ্ন

পূর্ণমান: 10
বিষয়: তথ্য ও যোগাযোগ প্রযুক্তি অধ্যায়: তৃতীয় শ্রেণি: HSC বোর্ড: ঢাকা বোর্ড সাল: ২০২৪

 

২০- ঢাকা বোর্ড ২০২৪ইমন বার্ষিক পরীক্ষার ফলাফল বিশ্লেষণ করতে গিয়ে দেখল বাংলা, ইংরেজি ICT বিষয়ে সে যথাক্রমে  নম্বর পেয়েছে

. ইউনিভার্সাল গেট কী

. 17 এর পরের সংখ্যাটি 20- ব্যাখ্যা কর​​​​​​

. উদ্দীপকে ইমনের ইংরেজি বিষয়ে প্রাপ্ত নম্বর হেক্সাডেসিমালে রূপান্তর কর​​​​​​​

. উদ্দীপকে ইমনের তিনটি বিষয়ে মোট প্রাপ্ত নম্বর বাইনারিতে কত হবে? নির্ণয় কর

উত্তর

সমাধান

 ২0। নং প্রশ্নের উত্তর :

(ক) যে সকল গেইট দিয়ে মৌলিক গেইটসহ অন্যান্য সকল প্রকার গেইট তৈরি বা বাস্তবায়ন করা যায় সেসব গেইট হচ্ছে ইউনিভার্সাল গেইট
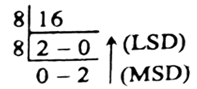
(খ) 17 সংখ্যাটি অক্টাল সংখ্যা পদ্ধতিতে আছে
এখন,

 
 এর পরবর্তী সংখ্যা

 


অর্থাৎ 17 এর পরবর্তী সংখ্যা 20 হবে
(গ)  উদ্দীপকে ইমনের ইংরেজি বিষয়ে প্রাপ্ত নম্বর (123)
  নম্বরটিকে হেক্সাডেসিমালে নিচে রূপান্তর করা হলো-

 

 


ইমনের ইংরেজি বিষয়ে প্রাপ্ত নম্বর হেক্সাডেসিমালে (53)  

 

() উদ্দীপকে ইমনের তিনটি বিষয়ে মোট নম্বর বাইনারিতে নিচে
নির্ণয় করা হলো-
ইমন বাংলায় পেয়েছে  

 
ইংরেজিতে পেয়েছে [  ‘নং হতে ]
এবং ICT তে পেয়েছে 
 

মোট প্রাপ্ত নম্বর

2  


ইমনের তিনটি বিষয়ে মোট প্রাপ্ত নম্বর বাইনারিতে 

  

রিঅ্যাকশন

পছন্দ প্রকাশ করুন

শেয়ার করুন

WhatsApp / Facebook

কমেন্ট

মতামত লিখুন
📥 Word