Dynamics Career - বাংলাদেশে ক্যারিয়ার, চাকরি ও শিক্ষা বিষয়ক সর্বশেষ তথ্য

পরীক্ষা: পদার্থবিজ্ঞান ২য় পত্র- ২য় অধ্যায় -পরীক্ষা-০২

প্রশ্ন 1.

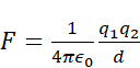
 পরস্পর থেকে 3 m দুরত্বে বায়ু মাধ্যমে +2 C এর দুটি চার্জ স্থাপন করলে এদের মধ্যকার বল কত হবে?

প্রশ্ন 2.

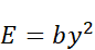
নিচের কোন সমীকরণটি ভুল? ​​​​​​​

প্রশ্ন 3.

বায়ুতে  ও  মানের দুটি চার্জের মধ্যবর্তী দূরত্ব অসীম। এদের মধ্যে ক্রিয়াশীল বল হলো- ​​​​​​​

প্রশ্ন 4.

দুটি চার্জের মধ্যবর্তী দূরত্ব  গুণ করলে, এদের মধ্যকার বলের পরিবর্তন কত গুণ হবে? ​​​​​​​

প্রশ্ন 5.

 সুষম ক্ষেত্র প্রাবল্যবিশিষ্ট বিদ্যুৎক্ষেত্রে একটি প্রোটন এর ওপর ক্রিয়াশীল বল কত হবে? ​​​​​​​

প্রশ্ন 6.

 এবং  চার্জদ্বয়কে পরস্পর হতে 15 cm দূরে রাখা হলে তাদের মধ্যে আকর্ষণ বলের মান- ​​​​​​​

প্রশ্ন 7.

0.1 g তরের একটি শোলার বলের আধান  আধানযুক্ত একটি বস্তু কত উপর থেকে শোলার বলটিকে শূন্যে স্থির অবস্থায় রাখতে পারবে?

 

প্রশ্ন 8.

 চার্জের একটি রাবারের বল কোনো স্থানে  প্রাবল্যের একটি সুষম বৈদ্যুতিক ক্ষেত্রে ঝুলন্ত অবস্থায় রাখা হয়। বলটির ভর কত? ​​​​​​​

প্রশ্ন 9.

দুটি চার্জের মধ্যে ক্রিয়াশীল স্থির তড়িৎ বল-

  1. অন্য কোনো চার্জের উপস্থিতির উপর নির্ভর করে না
  2. অসংরক্ষণশীল

iii. এর সীমা অসীম

নিচের কোনটি সঠিক? ​​​​​​​

প্রশ্ন 10.

দুটি চার্জের মধ্যকার বলের মান নির্ভর করে-

  1. চার্জের পরিমাণের উপর

  2. মধ্যবর্তী দূরত্বের উপর

    iii.ডাই ইলেকট্রিক ধ্রুবকের উপর

    নিচের কোনটি সঠিক​​​​​​​

প্রশ্ন 11.

দুটি চার্জের মধ্যে ক্রিয়াশীল বল-

i.আকর্ষণধর্মী

ii.বিকর্ষণ ধর্মী

  1. তাদের মধ্যবর্তী দূরত্বের সমানুপাতিক

    নিচের কোনটি সঠিক? ​​​​​​​

প্রশ্ন 12.

একটি চার্জিত সমতল পরিবাহীর সন্নিকটে তড়িৎ প্রাবল্যের মান কোনটি? ​​​​​​​

প্রশ্ন 13.

তড়িৎ প্রাবল্যের SI একক হলো-​​​​​​​

প্রশ্ন 14.

একটি সুষম তড়িৎক্ষেত্রে 50 cm ব্যবধানে অবস্মিত দুটি বিন্দুর বিষণ পার্বক্য 200 V । প্রাবল্য কত? ​​​​​​​  

প্রশ্ন 15.

C বিন্দুতে লব্ধি ক্ষেত্র প্রাবল্য কত হবে?

প্রশ্ন 16.

সুষম তড়িৎ ক্ষেত্রের একটি বিন্দুতে প্রোটনের উপর প্রযুক্ত বলের মান 4.8×10-19N । ঐ বিন্দুতে তড়িৎ ক্ষেত্রের প্রাবল্য-​​​​​​​

প্রশ্ন 17.

কত প্রাবল্যের একটি তড়িৎক্ষেত্রের মধ্যে একটি ইলেকট্রন স্থাপন করলে ইলেকট্রনটি তার ওজনের সমান বল অনুভব করবে?​​​​​​​

প্রশ্ন 18.

বায়ুতে 50 C চার্জ হতে 2 m দূরত্বে কোন বিন্দুতে তড়িৎ প্রাবল্যের মান কত? ​​​​​​​

প্রশ্ন 19.

একটি সরু জারের দৈর্ঘ্য 4 m . এটিতে +6μC চার্জ থাকলে-

  1. তারটি থেকে তড়িৎ বলরেখা বাইরের দিকে নির্গত হয়
  2. তারটির একক দৈর্ঘ্য চার্জের পরিমাণ  

iii. তারটির কেন্দ্র হতে 2 m দূরে তড়িৎ প্রাবল্যের মান

​​​​​​​ নিচের কোনটি সঠিক

 

প্রশ্ন 20.

তড়িৎ প্রাবল্য , যেখানে  ধ্রুবক তড়িৎ বিভব,  কত? ​​​​​​​

প্রশ্ন 21.

0.25 C ধনাত্মক চার্জকে অসীম দূরত্ব থেকে বৈদ্যুতিক ক্ষেত্রের কোনো বিন্দুতে আনতে যদি 2 J কাজ হয়, তবে উক্ত বিন্দুর বিভব কত? ​​​​​​​

প্রশ্ন 22.

18 C চার্জকে এক স্থান থেকে অন্য স্থানে আনতে কত কাজ হবে যদি বিভব পার্থক্য 200 V হয়?

প্রশ্ন 23.

কোনো একটি বিন্দুতে তড়িৎ বিভব  হলে, বিন্দুতে তড়িৎ প্রাবল্য কত? ​​​​​​​

প্রশ্ন 24.

তড়িৎ বিভবের কপাল্লাক প্রেডিয়েন্টকে কী বলে? ​​​​​​​

প্রশ্ন 25.

তড়িৎ বিভব চার্জের গুণফলের একক কী? ​​​​​​​

প্রশ্ন 26.

আধান বিভবের গুণফলের একক কোনটি? ​​​​​​​

প্রশ্ন 27.

20 cm ব্যাসার্ধের একটি কাঁপা গোলককে বাহুতে স্থাপ করে  চার্জে চার্জিত করা হলো গোলকের কেন্দ্র থেকে 18 cm দূরে কোনো বিন্দুর বিভব কত? ​​​​​​​

প্রশ্ন 28.

ভূ-সংযুক্ত বস্তুর তড়িৎ বিভব- ​​​​​​​

প্রশ্ন 29.

দুটি চার্জিত সংযুক্ত বস্তুর মধ্যে চার্জ প্রবাহিত হতে থাকে যতক্ষণ না তাদের মধ্যে সমান হয়- ​​​​​​​

 

প্রশ্ন 30.

0.25 C ধনাত্মক চার্জকে অসীম দূরত্ব থেকে বৈদ্যুতিক ক্ষেত্রের কোনো বিন্দুতে আনতে যদি 2 J কাজ হয়, তবে উক্ত বিন্দুর বিভব কত? ​​​​​​​

মোট প্রশ্ন: 30
Exam System