Dynamics Career - বাংলাদেশে ক্যারিয়ার, চাকরি ও শিক্ষা বিষয়ক সর্বশেষ তথ্য

পরীক্ষা: পদার্থবিজ্ঞান ২য় পত্র- ২য় অধ্যায় -পরীক্ষা-০৭ ও ০৮

প্রশ্ন 1.

 চার্জকে অপর একটি +  চার্জের চারিপাশে  m ব্যাসার্ধবিশিষ্ট বৃত্তাকার পথে ঘোরানো হলো + 10 চার্জটি বৃত্তের কেন্দ্রে অবস্থান করলে কাজের পরিমাণ হবে-​​​​​​​

প্রশ্ন 2.

একটি তড়িৎ ক্ষেত্রের দুইটি বিন্দু A এবং B এর মধ্যে 10V বিভব পার্থক্য বিদ্যমান কী পরিমাণ চার্জকে A থেকে B বিন্দুতে সরাতে 2.0 × 10⁻³ J কাজ করতে হবে?​​​​​​​

প্রশ্ন 3.

নিচের কোনটি ভোল্টের সমতুল্য?​​​​​​​

প্রশ্ন 4.

আধান বিভবের গুণফলের একক কী?​​​​​​​

প্রশ্ন 5.

উদ্দীপকে বর্গক্ষেত্রের কেন্দ্রে বিভবের মান শূন্য হলে  = কত? ​​​​​​​

প্রশ্ন 6.

উপরের চিত্রানুযায়ী 'O' বিন্দুতে তড়িৎ বিভব নির্ণয়ের সমীকরণ কোনটি?

[যেখানে n = 1, 2, 3]​​​​​​​

প্রশ্ন 7.

a বাহু বিশিষ্ট একটি বর্গক্ষেত্রের কৌণিক বিন্দু A, B, C D তে যথাক্রমে চারটি চার্জ +q, +q, -q -q স্থাপন করা হল উহার কেন্দ্র O বিন্দুতে বৈদ্যুতিক বিভবের মান হবে-​​​​​​​

প্রশ্ন 8.

কোনো গোলকের পৃষ্ঠে 20 coulomb মানের ১০টি চার্জ সুবহতভাবে ছড়িয়ে দেওয়া হয় উক্ত গোলকের ব্যাসার্ধ 15cm গোলকের কেন্দ্র থেকে 5cm দূরে বিভব কত?​​​​​​​

প্রশ্ন 9.

1 m ব্যাসার্ধের একটি গোলককে বায়ুতে স্থাপন করে 2 × 10⁻⁹ C চার্জে চার্জিত করা হলো গোলকের কেন্দ্র থেকে 0.1 m দূরে কোন বিন্দুতে তড়িৎ প্রাবল্য বিভব যথাক্রমে- ​​​​​​​

প্রশ্ন 10.

সমবিভব তলের ক্ষেত্রে কোনটি সঠিক নয়?

প্রশ্ন 11.

কোনটি সত্য নয়? ​​​​​​​

প্রশ্ন 12.

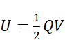
তড়িৎ ক্ষেত্রের কোনো বিন্দুর বিভব হচ্ছে​​​​​​​

প্রশ্ন 13.

ভোল্ট এর তুল্য একক কোনটি? ​​​​​​​

প্রশ্ন 14.

100 cm বাসার্ধবিশিষ্ট একটি গোলাকার পরিবাহীর পৃষ্ঠে  কুলম্ব চার্জ প্রদান করা হলো গোলকের কেন্দ্র থেকে 25 cm দূরে তড়িৎ বিভব হবে- ​​​​​​​

প্রশ্ন 15.

ইলেকট্রন ডেল্ট কিসে একক? ​​​​​​​

প্রশ্ন 16.

একটি সুষম তড়িৎ ক্ষেত্রে 50 cm ব্যবধানে অবস্থিত দুটি বিন্দুর বিভব পার্থক্য 200 V তড়িৎক্ষেত্রের প্রাবল্য কত হবে ​​​​​​​

প্রশ্ন 17.

 প্রাবল্যের সুষম তড়িৎক্ষেতেত্রে অবস্থিত দুটি বিন্দুর দূরুত্ব 10cm হলে এদের বিভব পার্থক্য কত?​​​​​​​

প্রশ্ন 18.

তড়িৎ দ্বিমেরুর জন্যে তড়িৎ ক্ষেত্র, E এবং তড়িৎ বিভব, V দূরত্ব r-এর সাথে কীভাবে পরিবর্তিত হয়?​​​​​​​

প্রশ্ন 19.

10 cm ব্যাসার্ধের একটি গোলকের পৃষ্ঠে 10 C আধান স্থাপন করলে এর পৃষ্ঠে তড়িৎ বিভব কত হবে? ​​​​​​​

প্রশ্ন 20.

0.02 m ব্যাসার্ধ বিশিষ্ট ৬৪টি গোলাকার ফোঁটাকে একত্রিত করে একটি বড় ফোঁটায় পরিণত করা হল যদি প্রতি ফোঁটায় 1C . চার্জ বিদ্যমান থাকে, তবে বড় ফোঁটার বিভব কত হবে? ​​​​​​​

প্রশ্ন 21.

কোন নিঃসঙ্গ চার্জ হতে 10 cm দূরে 100 V বিভব সৃষ্টি হলে চার্জটির পরিমাণ কত? ​​​​​​​

প্রশ্ন 22.

একটি m ভরের এবং e আধানের প্রোটনকে শূন্য থেকে V বিভব পার্থক্যে তৃত্তি করা হলে এর শেষে বেগ কত? ​​​​​​​

প্রশ্ন 23.

নিচের চিত্রে A B দুটি ধাতব পাত দেখানো হলো A পাতটি ঋণাত্তক B পাতটি ধনাত্তক তড়িৎ বিভবে আছে এদের মধ্যে বিভব পার্থক্য 4kV  A পাত থেকে একটি মুক্ত ইলেকট্রেন B পাতে গেলে চূড়ান্ত গতিশক্তি কত হবে?

​​​​​​​

 

 
   
প্রশ্ন 24.

 দুটি বিন্দুর মধ্যে বিভব পার্থক্য 322 kV এদের এক বিন্দু থেকে অপর বিন্দুতে 9μC চার্জ স্থানান্তর করলে কৃত কাজের পরিমাণ কত? ​​​​​​​

প্রশ্ন 25.

একটি তড়িৎ দ্বিমেরুর চার্জ দু'টির পরিমাণ কত হবে? ​​​​​​​

প্রশ্ন 26.

একটি তড়িৎ দ্বিমেরুর ক্ষেত্রে দূরত্বের সাথে তড়িৎ প্রাবল্য কী সম্পর্কিত

প্রশ্ন 27.

একটি দ্বিপোলের জন্য তড়িৎ প্রাবল্য নিম্নপে পরিবর্তিত হয়- ​​​​​​​

প্রশ্ন 28.

কোনো তড়িৎ দ্বিমেরুর অক্ষের উপর মধ্যবিন্দু হতে r দূরত্বে কোনো বিন্দুতে তড়িৎ বিভব হলো- (যেখানে p=2/q ) ​​​​​​​

প্রশ্ন 29.

 পৃথিবীকে 6400 km ব্যাসার্ধের একটি ধারক মনে করলে ধারকত্ব কত হবে? ​​​​​​​

প্রশ্ন 30.

পৃথিবীর ব্যাসার্ধ 6500 km এর ধারকতু কত? ​​​​​​​

প্রশ্ন 31.

সমান্তরাল পাত ধারকের ধারকত্ব নিচের কেনেটির উপর নির্ভর করে না? ​​​​​​​

প্রশ্ন 32.

শ্রেণী সমবায়ে সংযুক্ত একাধিক ধারকের সমতুল্য ধারকত্বের বিপরীত রাশি কেমন হবে? ​​​​​​​

প্রশ্ন 33.

 কোন সমস্তরাল পাত ধারকের ধারকত্বের ক্ষেত্রে কোনটি সঠিক? ​​​​​​​

প্রশ্ন 34.

বেতার গ্রাহক যন্ত্রে টিউনের কাজে কোন ধারক-ব্যবহার করা হয়? ​​​​​​​

প্রশ্ন 35.

নিচের কোনটি এক প্রকার বায়ু মাধ্যম সমস্তরাল ধারক?

প্রশ্ন 36.

বৈদ্যুতিক বর্তনীতে স্পার্কিং দূর করতে নিচের কোন বৈদ্যুতিক যন্ত্রটি ব্যবহার করা হয়? ​​​​​​​

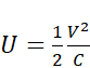
প্রশ্ন 37.

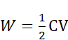
একটি চার্জিত ধারকের সঞ্চিত শক্তির সমীকরণ হচ্ছে- ​​​​​​​

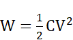
প্রশ্ন 38.

চার্জিত ধারকে সঞ্চিত শক্তির রাশিমালা কোনটি? ​​​​​​​

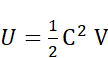
প্রশ্ন 39.

ধারকে সঞ্চিত শক্তির ক্ষেত্রে নিচের কোনটি সঠিক? ​​​​​​​

প্রশ্ন 40.

বি পার্থক্য স্থির থাকলে, একটি চার্জিত ধারকের শক্তি তার চার্জের- ​​​​​​​

প্রশ্ন 41.

একটি ক্যাপাসিটর কাজ করে- ​​​​​​​

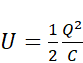
প্রশ্ন 42.

নিচের কোনটি ধারকের শক্তির সমীকরণ নয়? ​​​​​​​

প্রশ্ন 43.

সমান্তরাল দুটি ধাতব পাতের মধ্যকার দূরত্ব d এবং বি পার্থক্য

  1. যদি Q আধানের একটি বিন্দু চার্জ পাত দুটির ঠিক মধ্যবর্তী বিন্দুতে রাখা হয় তবে চার্জটির উপর ক্রিয়াশীল ছির তড়িৎ বলের মান কত?​​​​​​​
প্রশ্ন 44.

একটি ধারকের দুই পাতের মধ্যে বি পার্থক্য V এবং ধারকের সঞ্চিত শক্তি

  1. ধারকের বি পার্থক্য বৃদ্ধি করে 3 V করা হলে সঞ্চিত শক্তি বৃদ্ধি পেয়ে কত হবে? ​​​​​​​
প্রশ্ন 45.

তিনটি ধারকের ধারকত্ব যথাক্রমে     এদেরকে শ্রেণীতে সংযুক্ত করলে তুল্য ধারকত্ব কত হবে?

প্রশ্ন 46.

তিনটি ধারকের ধারকত্ব যথাক্রমে  এবং  এদেরকে শ্রেণিবছকারে যুক্ত করলে তুল্য ধারকতু কত হবে? ​​​​​​​

প্রশ্ন 47.

তিনটি ধারকের ধারকতু যথাক্রমে  এদেরকে শ্রেণিতে সংযুক্ত তুল্য ধারকত্ব কত হবে?

প্রশ্ন 48.

2, 3  এর তিনটি ধারক শ্রেণীসমবায়ে 10 V উৎসের সাথে সংযুক্ত  ধারকটিতে আধানের পরিমাণ- ​​​​​​​

প্রশ্ন 49.

 এর ৫টি ধারক সিরিজ সংযোগে যুক্ত করা হলো ধারকগুলোর সমতুল্য ধারকত্ব হচ্ছে- ​​​​​​​

প্রশ্ন 50.

 এর 8টি ধারক সিরিজে সংযোগ করা হলো তাদের সমতুল্য ধারকতু হচ্ছে- ​​​​​​​

প্রশ্ন 51.

2, 3  এর তিনটি ধারক শ্রেণি সমবায়ে 10 V উৎসের সাথে সংযুক্ত  ধারকটিতে আধানের পরিমাণ- ​​​​​​​

প্রশ্ন 52.

4  F এর 8টি ধারক সিরিজে সংযোগ করা হলো তাদের সমতুল্য ধারকত্ব কত? ​​​​​​​​​​​​​​

প্রশ্ন 53.

তিনটি ধারকের শ্রেণিবদ্ধ বিন্যাসের মোট ধারকত্ব   দুই ধারকের মন যথাক্রমে  হলে তৃতীয়টির মান কত? ​​​​​​​

প্রশ্ন 54.

একটি ধারকের ধারকত্বের মান অপরটির মানের অর্থেক হলে তাদের সমন্তরাল সমবায়ে থাকাকালীন তুল্য ধারকত্ব শ্রেণি সমবায়ে থাকাকালীন তুল্য ধারকত্বের কত গুণ হবে? ​​​​​​​

প্রশ্ন 55.

2,  ধারকত্বের ধারক শ্রেণিবদ্ধভাবে সাজানোর পর 10 V ব্যাটারির সঙ্গে সংযোগ দেয়া হলো বর্তনীতে চার্জের পরিমাণ কত? ​​​​​​​

প্রশ্ন 56.

 ধারকত্ব বিশিষ্ট তিনটি ধারককে শ্রেণি সমবায়ে সংযোগ দেয়া হলো এদের সমতুল্য ধারকত্ব হবে- ​​​​​​​

প্রশ্ন 57.

দুটি ধারককে শ্রেণি সমবায়ে যুক্ত করলে তুল্যধারকত্ব  হয় একটি ধারকের ধারকত্ব  হলে অন্যটির ধারকত্ব কত হবে? ​​​​​​​

প্রশ্ন 58.

 এর তিনটি ধারক সমাজরালে সাজালে তুল্য ধারকের মান​​​​​​​

প্রশ্ন 59.

2, 3  এর ধারক শ্রেণি সমবায়ে 10 V উৎসের সাথে সংযুক্ত থাকে  ধারকটিতে আধানের পরিমাণ- ​​​​​​​

প্রশ্ন 60.

নিম্নের কোনটি শূন্যস্থানের জন্য প্রযোজ্য? সমান ধারকতের ৪টি ধারকের শ্রেণী সমবায়ে থাকাকালীন তুল্য ধারকতু, সমাজরাল সমবায়ে থাকাকালীন তুল্য ধারকতের-গুণ? ​​​​​​​

মোট প্রশ্ন: 60
Exam System