Dynamics Career - বাংলাদেশে ক্যারিয়ার, চাকরি ও শিক্ষা বিষয়ক সর্বশেষ তথ্য

পরীক্ষা: পদার্থবিজ্ঞান ২য় পত্র- ২য় অধ্যায় -পরীক্ষা-১০

প্রশ্ন 1.

বিভিন্ন রাশির এককের ক্ষেত্রে নিচের কোন মিলটি সঠিক নয়? ​​​​​​​

প্রশ্ন 2.

কোন তড়িৎ ক্ষেত্রের প্রাবল্য কত হলে সেখানে একটি ইলেকট্রন তার ওজনের সমান বল অনুভব করবে?​​​​​​​

প্রশ্ন 3.

 তড়িৎক্ষেত্রে একটি ইলেকট্রনের তুরণ কত  ? ​​​​​​​

প্রশ্ন 4.

0.002 kg ভরের একটি শোলা বল  চার্জে চার্জিত। শোলা বলটিকে অভিকর্ষীয় ক্ষেত্রে স্থির রাখতে কী পরিমাণ তড়িৎ ক্ষেত্রের প্রয়োজন? ​​​​​​​

প্রশ্ন 5.

 ​​​​​​​  চার্জ থেকে 20 cm দূরত্বে তড়িৎ প্রাবল্য-​​​​​​​

প্রশ্ন 6.

 তড়িৎক্ষেত্রে একটি ইলেকট্রনের তরণ কত ​​​​​​​

প্রশ্ন 7.

0.15 gm ভরের একটি শোলার বলে  আধান দেওয়া আছে  আধান যুক্ত বস্তু থেকে শোলার বলটি কত উচ্চতায় থাকলে তা শূন্যে ভাসবে? ​​​​​​​

প্রশ্ন 8.

একটি সুষম তড়িৎ ক্ষেত্রে 25cm, ব্যবধানে অবস্থিত দুটি বিন্দুর বিভব পার্থক্য 150V, তড়িৎ ক্ষেত্রের প্রাবল্য কত?​​​​​​​

প্রশ্ন 9.

একটি বিন্দু চার্জ হতে 2m দূরত্বে তড়িৎক্ষেত্রের প্রাবল্যের মান E হলে, 1m দূরত্বে তড়িৎক্ষেত্রের প্রাবল্যের মান কত?​​​​​​​

প্রশ্ন 10.

40 cm দূরত্বে অবস্থিত     মানের দুটি চার্জের সংযোগ রেখার ঠিক মধ্যবিন্দুতে তড়িৎ প্রাবল্য- ​​​​​​​

প্রশ্ন 11.

পরস্পর থেকে 10 cm দূরে অবস্থিত    দুটি চার্জের সংযোগ রেখার ঠিক মধ্যবিন্দুতে প্রাবল্য হবে​​​​​​​​​​​​​​

প্রশ্ন 12.

1m ব্যাসার্ধের একটি গোলককে বায়ুতে স্থাপন করে  চার্জে চার্জিত করা হলো। গোলকের কেন্দ্র থেকে 0.1m দূরে কোনো বিন্দুতে তড়িৎ প্রাবল্য বিভব যথাক্রমে-​​​​​​​

প্রশ্ন 13.

তড়িৎ বিভবের মাত্রা-​​​​​​​​​​​​​

প্রশ্ন 14.

 যদি তড়িৎক্ষেত্রের প্রাবল্য অক্ষ বরাবর ক্রিয়া করে এবং এর মান  হয়, যেখানে, c =ধ্রুবক, তবে তড়িৎ বিভব V=?​​​​​​​

প্রশ্ন 15.

দুটি চার্জিত সংযুক্ত বস্তুর মধ্যে চার্জ প্রবাহিত হতে থাকে যতক্ষণ না তাদের মধ্যে সমান হয়-​​​​​​​

প্রশ্ন 16.

দুটি চার্জিত সংযুক্ত বস্তুর মধ্যে চার্জ প্রবাহিত হতে থাকে যতক্ষণ না তাদের-​​​​​​​

প্রশ্ন 17.

eV (ইলেকট্রন ভোল্ট) নিচের কোন রাশির একক?​​​​​​​

প্রশ্ন 18.

 এবং  চার্জদ্বয়কে পরস্পর হতে 15 cm দূরে রাখা হলে তাদের মধ্যে আকর্ষণ বলের মান- ​​​​​​​

প্রশ্ন 19.

 0.1 g তরের একটি শোলার বলের আধান    আধানযুক্ত একটি বস্তু কত উপর থেকে শোলার বলটিকে শূন্যে স্থির অবস্থায় রাখতে পারবে? ​​​​​​​

প্রশ্ন 20.

 চার্জের একটি রাবারের বল কোনো স্থানে  প্রাবল্যের একটি সুষম বৈদ্যুতিক ক্ষেত্রে ঝুলন্ত অবস্থায় রাখা হয়। বলটির ভর কত? ​​​​​​​

প্রশ্ন 21.

দুটি চার্জের মধ্যে ক্রিয়াশীল স্থির তড়িৎ বল-

  1. অন্য কোনো চার্জের উপস্থিতির উপর নির্ভর করে না
  2. অসংরক্ষণশীল

iii. এর সীমা অসীম

নিচের কোনটি সঠিক? ​​​​​​​

প্রশ্ন 22.

দুটি চার্জের মধ্যকার বলের মান নির্ভর করে-

i. চার্জের পরিমাণের উপর

 ii. মধ্যবর্তী দূরত্বের উপর

  1. ডাই ইলেকট্রিক ধ্রুবকের উপর

নিচের কোনটি সঠিক​​​​​​​

প্রশ্ন 23.

দুটি চার্জের মধ্যে ক্রিয়াশীল বল-

i.আকর্ষণধর্মী

ii.বিকর্ষণ ধর্মী

  1. তাদের মধ্যবর্তী দূরত্বের সমানুপাতিক

    নিচের কোনটি সঠিক? ​​​​​​​

প্রশ্ন 24.

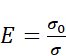
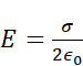
একটি চার্জিত সমতল পরিবাহীর সন্নিকটে তড়িৎ প্রাবল্যের মান কোনটি? ​​​​​​​

প্রশ্ন 25.

তড়িৎ প্রাবল্যের SI একক হলো-​​​​​​​

প্রশ্ন 26.

একটি সুষম তড়িৎক্ষেত্রে 50 cm ব্যবধানে অবস্মিত দুটি বিন্দুর বিষণ পার্বক্য 200 V । প্রাবল্য কত? ​​​​​​​

প্রশ্ন 27.

C বিন্দুতে লব্ধি ক্ষেত্র প্রাবল্য কত হবে?​​​​​​​

 

প্রশ্ন 28.

সুষম তড়িৎ ক্ষেত্রের একটি বিন্দুতে প্রোটনের উপর প্রযুক্ত বলের মান  । ঐ বিন্দুতে তড়িৎ ক্ষেত্রের প্রাবল্য-​​​​​​​

প্রশ্ন 29.

কত প্রাবল্যের একটি তড়িৎক্ষেত্রের মধ্যে একটি ইলেকট্রন স্থাপন করলে ইলেকট্রনটি তার ওজনের সমান বল অনুভব করবে?​​​​​​​

প্রশ্ন 30.

বায়ুতে 50 C চার্জ হতে 2 m দূরত্বে কোন বিন্দুতে তড়িৎ প্রাবল্যের মান কত? ​​​​​​​

মোট প্রশ্ন: 30
Exam System