Dynamics Career - বাংলাদেশে ক্যারিয়ার, চাকরি ও শিক্ষা বিষয়ক সর্বশেষ তথ্য

পরীক্ষা: পদার্থবিজ্ঞান ১ম পত্র [২য় অধ্যায় ] পরীক্ষা-৪

প্রশ্ন 1.

কোণ সামাম্ভরিকের দুটি কর্ণ      যেখানে  তবে সামান্তরিকটি একটি-

প্রশ্ন 2.

সমকোণে একটি বিন্দুতে ক্রিয়াশীল দুটি সমান বলের লব্ধির মান যেকোন একটি বলের-

প্রশ্ন 3.

       দুটি একক ভেক্টর এবং মধ্যবর্তী কোণ θ   হলে    কত?

প্রশ্ন 4.

   এর মান কত?

প্রশ্ন 5.

কোন বিন্দুতে 10 N মানের দুটি সমান কল পরস্পর    কোণে ক্রিয়া করছে এদের লব্ধ বলের মান কত?

প্রশ্ন 6.

নিম্রের কোনটি ভেক্টর নয়?

প্রশ্ন 7.

সমজাতীয় অসমান মানের দুটি ভেক্টর যদি একই দিকে ক্রিয়া করে তাকে বলে-

প্রশ্ন 8.

 নিচের কোনটি স্কেলার রাশি?

প্রশ্ন 9.

ভেক্টরকে স্কেলার রাশি দ্বারা গুণ করলে গুণফল একটি ভেক্টর হয়-

প্রশ্ন 10.

দুটি বিপ্রতীপ ভেক্টরের মধ্যবর্তী কোণ:

প্রশ্ন 11.

নিচের কোনটি স্কেলার রাশি?

প্রশ্ন 12.

কোন সামান্তরিকের দুটি বাহুর ভেক্টর মান যথাক্রমে    এবং    হলে সমাস্তরিকাটর ক্ষেত্রফলেন মান-​​​​​​​

প্রশ্ন 13.

   হলে   এর বিপরীত ভেক্টর কত হবে? 

প্রশ্ন 14.

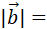
   একক ভেক্টরের b   এর মান কত?

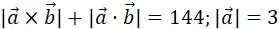
প্রশ্ন 15.

   এর মান কত?

প্রশ্ন 16.

   ?​​​​​​​

প্রশ্ন 17.

   ?​​​​​​​

প্রশ্ন 18.

   এবং    এর মধ্যবর্তী কোণ কত?

প্রশ্ন 19.

   এর সমান্তরাল একক ভেক্টর-

প্রশ্ন 20.

  হলে এর সমান্তরাল একক ভেক্টর নির্ণয় কর

প্রশ্ন 21.

   ভেক্টরটি x  অক্ষের সাথে কোণ উৎপন্ন করে-

প্রশ্ন 22.

ত্রিমাত্রিক স্থানাঙ্ক ব্যবস্থায় কোন একটি ভেক্টরকে   রপে প্রকাশ করা হলো প্রদত্ত ভেক্টরটির মান কত?

প্রশ্ন 23.

   কত?​​​​​​​

প্রশ্ন 24.

   কত?

প্রশ্ন 25.

P(2, 3,

  1. বিন্দুটির অবস্থান ভেক্টরের মান কত?
প্রশ্ন 26.

5N এবং 10N মানের দুটি বল একটি কণার উপর আপতিত হলে নিচের কোন বলটি কণাটির উপর লব্ধি বলের সমান হতে পারে না?

প্রশ্ন 27.

   এবং    হলে    কত?

প্রশ্ন 28.

 (  ) এবং  এর মধ্যবর্তী কোণ কত?

প্রশ্ন 29.

দুটি সমান মানের ভেক্টরের লক্কির মান যে কোনো একটি ভেক্টরের মানের সমান হলে ভেক্টরদ্বয়ের মধ্যবর্তী কোণ হবে-

প্রশ্ন 30.

   হলে    ?

মোট প্রশ্ন: 30
Exam System